Journal of Applied Biosciences 209: 22110 – 22123
ISSN 1997-5902
Effects of compost enriched with horn, bone and hoof powder on tomato (Solanum lycopersicon L.) yield and soil chemical characteristics in organic production in Burkina Faso
*Adama OUATTARA1, Bazoumana KOULIBALY1, Clézanga A. TRAORE1, Céline Porgnogo DAO2, Abel BEDA2 et Salia HEBIE2
1Institut de l’Environnement et de recherches Agricoles (INERA), 01 BP 910 Bobo-Dioulasso 01, Burkina Faso.
2Association pour la Recherche et la Formation en Agro- écologie (ARFA)
*Corresponding author: adamaouatt30@gmail.com
Submitted 17/04/2025, Published online on 30/06/2025 in the https://www.m.elewa.org/journals/journal-of-applied-biosciences https://doi.org/10.35759/JABs.209.1
ABSTRACT
Objectives: To evaluate composts enriched with horn, bone and hoof powder on tomato yield and soil chemical proprieties in Eastern of Burkina Faso.
Methodology and results: The study was conducted using a simple block design, with each market gardener plot considered as a repetition, and compared four treatments corresponding to three levels of compost enrichment with the mixture of horn, bone and hoof powder (0%, 15% and 30%) and a control with no compost. Observations were made on the agromorphological parameters of the tomato and chemical parameters of the soil. The results showed an improvement in the organic Carbone, nitrogen and phosphorus content of composts enriched with 15% and 30% of horn, bone and hoof powder compared with the control compost. On tomatoes, the applications of enriched composts at 15% and 30% enrichment resulted an improve of neck diameter of 8% and 15%, height plant from 8% and 10%, the number of tomatoes from 67% and 123% and yields from 26% and 108% respectively compared with the control compost. Applications of enriched composts improved soil organic carbon content by 3% to 77%, nitrogen content by 18% to 64% and total phosphorus content by 30% to 117% compared with control compost.
Conclusions and applications of findings: The results obtained revealed value of using slaughterhouse residues in agricultural production systems in order to improve crop yields and soil chemical parameters. The slaughterhouse waste use, in particular horns, bones and hooves, could be an alternative for improving agricultural yields.
Key words: Tomato, horn, bone and hoof powder, slaughterhouse waste, enriched composts, soil fertility.
INTRODUCTION
In Burkina Faso, as in many other African countries, slaughterhouses contribute to the food security of the population through the supply of meat. However, these slaughterhouses are a major source of various types of waste that can compromise good living in urban areas (Roy et al., 2013, Nunes et al., 2015). The waste generated by slaughterhouses causes serious pollution problems in the surrounding areas (Kakimow et al., 2021; Harahap et al., 2023). The inadequate management of this waste is a public health issue because it pollutes air, surface and ground water, and could be a source of many germs proliferation that are dangerous for people’s health (Hart et al., 2022). In Burkina Faso, the slaughterhouse in the main city, Ouagadougou, produces around 3,000 tons of waste per year, which is directly recycled in market production systems without prior treatment (Compaoré et al. 2010; Kiba et al. 2012). The waste slaughterhouses are directly used, especially in nearby market gardens (Kaboré et al., 2011). However, the results of research by Kiba et al. (2019) recommend composting slaughterhouse waste before using it in agricultural production. In addition of solid waste using, effluents are also used, especially in conditions where they are discharged into the environment. Chennaoui (2006) describes that the effluents slaughterhouses are rich in bacteria, indicative of faecal contamination. Slaughterhouse waste can also be recycled to produce methane and used as energy. According to Soma et al. (2023), in Burkina Faso, solid residues from slaughterhouses are used to produce compost and biogas, which is a source of domestic energy. In agriculture, Razafindramanana (2020) has shown a positive effect of bone meal-based soil improvers on soil chemical parameters and bean (Phaseolus vulgaris L.) yields at Madagascar Highlands. This waste could be used in agriculture to improve the chemical characteristics of soils (Genisel et al., 2012). Kivelä et al. (2015) characterized animal bones as an important source of phosphorus for crop fertilization. However, their use in agriculture requires improving the availability of mineral elements by incorporating amendments based on horn, bone and hoof powder to ensure better absorption by crops into the soil. Nunes et al. (2014) observed improvements in the levels of major elements such as phosphorus and potassium and certain trace elements, notably calcium and magnesium, thanks to the use of composted slaughterhouse waste in Brazil. The Association pour la Recherche et la Formation en Agroécologie (ARFA) is a national NGO under Burkina Faso law, which focuses on promoting agroecology. It operates in the East, Center-East, North and Center-West regions of Burkina Faso. The association supports groups of market garden producers using the organic and agroecological label. To ensure better fertilization, the association uses slaughterhouse waste to produce compost. Powdered horns, bones and hooves are used in the composting process to improve compost quality. Through these actions, the NGO is working to improve the living conditions of the people in the region. Tomato production is the second most important market garden crop in Burkina Faso, after onions. Market gardening plays an important role in Burkina Faso’s agricultural sector. It contributes 16.5% to agricultural production, 10.5% to the primary sector and 4.5% to GDP (MAAH, 2020). In 2020, tomato production was 167400 tons on 10284 ha (Tiendrébeogo, 2023). Today, tomato yields remain low due to declining soil fertility and inputs quality used (Sawadogo et al.; 2021). Organic tomato production is hampered by the availability of suitable organic fertilizers (Sawadogo et al.; 2021). Focus on recycling slaughterhouse waste and preserving soil health, this study aims to assess the effectiveness of compost enriched with horn, bone and hoof powder on tomato yield and soil chemical characteristics. The aim was to evaluate the effects of compost enriched with a mixture of horn, bone and hoof powder on tomato yield and soil chemical fertility.
MATERIAL AND METHODS
Study area and soil characteristics: The experiments were conducted in 2021 in the market garden areas of Fada N’Gourma (30P0209429, UTM: 1342548) and Nassobdo (31P0180493, UTM: 1351380) located in the communes of Fada N’Gourma and Tibga in the eastern region of Burkina Faso. One crop cycle has been done. The market gardening at Fada N’Gourma and Nassobdo are underlain Lixisols (BUNASOLS, 2008). These soils have silty-clayey-sandy textures (in Fada N’Gourma) and silty-sandy (in Nassobdo), with 0,28 % and 0,17 % of organic matter contents. Nitrogen levels are 0.20 g kg-1 (Nassobdo) and 0.30 g kg-1 (Fada N’Gourma). Soil total P and assimilable P contents (Bray I) were 79.80 ± 48.51 mg kg-1 and 2.09 ± 0.01 mg kg-1 at Nassobdo, compared with 101.00 ± 20.90 mg kg-1 and 1.53 ± 0.07 mg kg-1 at Fada N’Gourma. Total K and available K values were 429.69 ± 61.64 mg kg-1 and 54.57 ± 0.44 mg kg-1, i.e. deficient in Nassobdo and average in Fada N’Gourma. These soils, which have pH water of 5.90 and 6.74, respectively are classified as moderately acidic and, weakly acidic to neutral according to BUNASOLS (2018).
Plant material and organic amendment used: The plant material used was the Cobra 26 tomato variety, which is early maturing and tolerant to bacterial wilt adapted to tropical zones. With determined growth and very good vigour and productivity, its yield varies between 15 t/ha of tomatoes in the dry season and 20 t/ha in the rainy season. With strong growth, excellent vigour and outstanding productivity, its potential yield exceeds 20 t/ha. It is a variety resistant to bacterial wilt (Ralstonia solanacearum). The compost was produced by the community and distributed to the producers by recycling of Andropogon gayanus straw and using cattle manure. During the composting process, an amendment based on a mixture of horn, bone and hoof powder (COS powder) was added at 15% and 30% of the total weight in order to improve compost quality. Composts 15.COS and 30.COS obtained were improved by 15% and 30% of COS powder respectively during composting. This means that for 1000 kg of dry matter, 150 kg and 300 kg of the mixture of horn, bone and hoof powder were applied respectively for compost 15. COS and 30.COS. The COS powder is a mixture of equal quantities of horn, bone and hoof powder from slaughterhouses. Its average composition was 54% organic matter, 7.19% nitrogen, 10.86% P2O5, 0.17% K2O, 4.41% CaO and 2.71% MgO.
Treatment applied and agronomic operations: Using a dispersed block design, the trials were carried out in the market gardens by 8 tomato growers, i.e. 4 growers at each site. Each grower plot was considered as a replicate. Each block assigned to a treatment measured 20 m² and consisted of 4 rows of 10 m. The blocks were 0.50 m apart. Before transplanting the tomatoes, each grower prepared the soil by digging it with a pick. The compost was produced in a cooperative before being distributed to producers and was applied to the blocks in the doses defined. The tomatoes were transplanted from a nursery very early in the morning after abundant watering of the nursery and the bed with dimensions of 0.5 m between rows and 0.5 m between planting hole with one plant per planting hole. Watering was carried out every day, morning and evening, on the plots and the grower. Phytosanitary treatments based on biological insecticides (H-N and LIMOSAIN) were carried out against tomato pests. The treatments consisted of different doses of compost, defined as follows:
T1. Control
T2. 30t / ha of compost (control compost)
T3. 30t / ha Compost 15.COS (enriched compost 15% of COS powder)
T4. 30t / ha of Compost 30.COS (enriched compost 30% of COS powder)
Parameters measured: The diameter at the collar of tomato plants 20 days after transplanting and 85 days after transplanting, as well as the height between the collar and the last bud 85 days after transplanting, were measured using an electronic caliper and a graduated ruler. Ten tomato plants were randomly selected from the plot for these measurements. Fresh tomato yields and the number of fruits harvested were determined from 10 m² plots. In addition, soil samples were taken by auger from the 0 – 10 cm depth layer when the trials were set up and at harvest. Soil samples taken prior to planting were taken from the entire plot and were not considered in the data analysis. At harvest, for each treatment, soil was sampled at five points and then mixed to make a composite sample. These collected soil samples were shade-dried, crushed and then sieved to 2 mm. Using a soil solution with a mass/volume ratio of 1:2.5 as described by Houba et al. (1995), the pH water was measured by direct reading with a pH meter. Total nitrogen was determined using the Kjeldahl method (Hillebrand et al., 1953), total carbon content was measured using the Walkley-Black method (Walkley and Black, 1934) and the organic matter content was obtained by multiplying total carbon by the coefficient 1.724 (Dabin, 1970). Total phosphorus was determined by automatic colorimetry after mineralization and use of ammonium molybdate in the presence of ascorbic acid and assimilable phosphorus was determined by the BRAY I method (Bray and Kurtz, 1945). Total potassium was determined using a flame spectrophotometer.
Statistical analysis of data: The data collected were subjected to an analysis of variance using version 4.3.0 of R Studio and R Instat 0.7.16.50 software. The Rcmdr library and the ‘FactoMinR’ package were used for the analysis of variance. Means were separated using the Tukey test at the 5% probability threshold.
RESULTS
Chemical characteristics of compost: Table 1 shows the chemical characteristics of composts tested on tomatoes. These composts had high organic matter contents of 25% to 34%, Total nitrogen contents varied between 1.25 and 1.99% and C/N ratios between 10 and 12. Composts enriched to 15% and 30% with the mixture of horn, bone and hoof powder had total phosphorus levels 3 to 5 times higher than the control compost (1492 mg/kg P). Potassium, calcium and magnesium levels in composts enriched with horn, bone and hoof powder were lower than those in the control compost. The pH water values of composts varied between 6.81 and 8.13.
Table 1: Physico-chemical characteristics of composts
| Types of compost | Organic matter % | Total N % | Total P % | Total K mg kg-1 | Total Ca mg kg-1 | Total Mg | C/N | pH water |
| Control compost | 26,62
±0,62 |
1,25
±0,02 |
1492
±2,72 |
9395
±0,00 |
8261
±32,22 |
1801
±6,81 |
12 | 8,13 |
| Compost enriched with 15% COS powder | 33,17
±0,63 |
1,69
±0,02 |
4794
±4,27 |
8612
±0,00 |
7174
±39,68 |
1413
±4,50 |
11 | 7,03 |
| Compost enriched with 30% COS powder | 35,74
±0,06 |
1,99
±0,01 |
8293
±3,48 |
6435
±34,60 |
5565
±0,78 |
1736
±5,89 |
10 | 6,81 |
The values after “±” stand for SD
Effects of composts on collar diameter and height of tomato plants: The diameters at collar of tomato plants at 20 and 85 days after transplanting were statistically improved with using composts at Fada N’Gourma and Nassobdo (Table 2). At the 85th days after transplanting, compared with the control treatment (T1), the diameters at collar of tomato plants were improved by + 35% and + 51% with unenriched compost (T2) and the compost enriched with a 30% mixture of horn, bone and hoof powder (T4) at the Fada N’Gourma. At Nassobdo, the improvements of diameters at collar of tomato plants were + 80% with the non-enriched compost (T2) and + 107% with the compost enriched with 15% of horn, bone and hoof powder (T3) compared with the control without compost (T1). At 85 days after transplanting, compared with unenriched compost (T2), composts enriched with 15% and 30% of horn, bone and hoof mixture powder (T3 and T4) improved 8% and 12% diameter at collar respectively in Fada N’Gourma and 15% and 8% in Nassobdo (Table 2).
Table 2: Diameters at collar (cm) of tomato plants according to treatments at 20 and 85 days after transplanting
| Treatments | Fada N’Gourma | Nassobdo | ||
| 20 dat | 85 dat | 20 dat | 85 dat | |
| T1. Control without compost | 3,67±0,16 b | 8,26±0,36 c | 4,46±0,91 c | 5,11±0,47 c |
| T2. 30 t/ha Compost control | 4,63±0,77 a | 11,11±0.56 b | 6,90±0,57 b | 9,21±2,36 b |
| T3. 30 t/ha Compost 15.COS | 4,69±0,26 a | 12,04±0.39 ab | 8,30±0,82 a | 10,59±0,96 a |
| T4. 30 t/ha Compost 30.COS | 4,58±0,26 a | 12,47±1,05 a | 7,42±0,39 ab | 9,96±0,85 ab |
| F-value | 4,930 | 33,826 | 21,881 | 37,491 |
| Pr (>F) | 0,019 (S) | < 0,0001 (HS) | < 0,0001 (HS) | < 0,0001 (HS) |
dat : days after transplanting , S: significant, HS: highly significant. Values followed by the same letter in each column are not statistically different according to Tukey test. The values after “±” stand for SD.
Tomato plant heights at 85 days after transplanting at Fada N’Gourma and Nassobdo showed significant differences between the treatments compared. Compared with the control treatment with no compost added (T1), the unenriched compost (T2) and the composts enriched with 15% and 30% of mixture powder of horn, bone and hoof (COS powder) led to significant improvements of the height growth of the tomato plants (Table 3). At Fada N’Gourma, the different types of compost were statistically equivalent, while at Nassobdo, composts enriched with 15 and 30% of mixture powder of horn, bone and hoof (T3 and T4) produced significant improvements of 8% and 10% of tomato height compared with unenriched compost (T2).
Table 3: Height of tomato plants (cm) according to treatments at 85 days after transplanting
| Treatments | Fada N’Gourma | Nassobdo |
| T1. Control without compost | 81,75±3,22 b | 45,03±2,40 c |
| T2. 30 t/ha Compost control | 91,40±2,31 a | 70,28±3,64 b |
| T3. 30 t/ha Compost 15.COS | 91,83±5,92 a | 75,88±3,00 a |
| T4. 30 t/ha Compost 30.COS | 98,25±5,98 a | 77,05±3,71 a |
| F-value | 8,561 | 85,882 |
| Pr(>F) | 0,003 (S) | < 0,0001 (HS) |
S: significant, HS: highly significant. Values followed by the same letter in each column are not statistically different according to Tukey test. The values after “±” stand for SD.
Effects of composts on tomato yields: In the two sites, application of compost enriched with 15% of a mixture of horn, bone and hoof powder (T3) resulted in higher yield (Fig. 1). The unenriched control compost (T2) and the composts enriched with 15% and 30% of mixture powder of horn, bone and hoof (T3, T4) improved tomato yields by 81%, 152% and 128% respectively in Fada N’Gourma and by 25%, 159% and 74% at Nassobdo compared with the treatment control (T1). Compared with unenriched compost, composts enriched with 15% (T3) and 30% (T4) of a mixture of horn, bone and hoof powder produced improvements of 37% and 26% at Fada N’Gourma and 108% and 40% at Nassobdo.
Fig. 1: Yield of fresh tomatoes by treatment in the two sites (2021)
T1. Control without compost, T2. 30 t/ha Compost control, T3. 30 t/ha Compost 15.COS, T4. 30 t/ha Compost 30.COS. Bars with the same letter are not statistically different at the 5% threshold according to Tukey test
The number of tomato fruits harvested was statistically improved by the treatments compared at Fada N’Gourma market garden (p = 0.004), unlike at Nassobdo where they remained statistically equivalent (p = 0.521). At Fada N’Gourma, improvements the number of tomato fruits ranged from +67% (T2) to +123% (T3). Compared with unenriched compost, composts enriched with 15% and 30% of mixture powder of horn, bone and hoof improved the number of tomato fruits harvested.
Table 6: Number of tomato fruits harvested according to treatments
| Treatments | Fada N’Gourma | Nassobdo |
| Number of tomato/ha | ||
| T1. Control without compost | 275250 ± 34612 b | 130000 ± 8907 a |
| T2. 30 t/ha Compost control | 460000 ± 52328 a | 119000 ± 30887 a |
| T3. 30 t/ha Compost 15.COS | 614250 ± 122199 a | 183333 ± 17347 a |
| T4. 30 t/ha Compost 30.COS | 557000 ± 167497 a | 138500 ± 39770 a |
| F-value | 7,766 | 0,802 |
| Pr(>F) | 0,004 (S) | 0,521 (NS) |
S: significant, NS: not significant. Values followed by the same letter in each column are not statistically different according to Tukey test. The values after “±” stand for SD
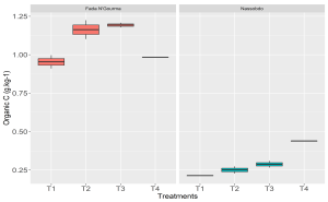
Effects of composts on the chemical characteristics of soils: The results showed significant improvements in soil organic carbon and total nitrogen content at Fada N’Gourma (p = 0.042) and Nassobdo (p= 0.002). Compared with the control treatment without compost (T1), the results showed increases in soil organic carbon content ranging from +4% (T4) to +26% (T3) in Fada N’Gourma (Fig. 2), compared with improvements of +16% (T2) to +105% (T4) at Nassobdo (Fig. 2). Although statistically equivalent, compared with unenriched compost (T2) alone, compost enriched with 15% of COS powder (T3) improved soil organic carbon content by 3%. At Nassobdo, although statistically equivalent, composts enriched with 15% and 30% COS powder improved soil organic carbon content by 14% (T3) and 77% (T4), respectively, compared with unenriched compost (T2).
Fig. 2: Soil organic C content according to treatments at Fada N’Gourma and Nassobdo (2021).
T1. Control without compost, T2. 30 t/ha Compost control, T3. 30 t/ha Compost 15.COS and T4. 30 t/ha Compost 30.COS. Bars with the same letter are not statistically different at the 5% threshold according to Tukey test
Soil nitrogen levels did not improve significantly at Fada N’Gourma, whereas significant variations were noted at Nassobdo (Fig. 3). At Nassobdo, enriched composts improved total nitrogen levels of soil by 18% and 64% respectively with composts enriched with 15% (T3) and 30% (T4) of mixture powder of horn, bone and hoof compared with the control compost (T2).
Fig. 3: Soil total N content according to treatments at Fada N’Gourma and Nassobdo (2021).
T1. Control without compost, T2. 30 t/ha Compost control, T3. 30 t/ha Compost 15.COS and T4. 30 t/ha Compost 30.COS. Bars with the same letter are not statistically different at the 5% threshold according to Tukey test
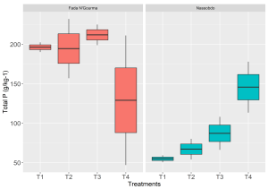
The analyses of variance did not reveal any significant differences in total P content between treatments at Fada N’Gourma. At Nassobdo, compost applications significantly improved total soil P levels between treatments (Fig. 4). The applications of compost enriched with mixture powder of horn, bone and hoof (T3 and T4) resulted in improvements in total P levels of +30% (T3) and +117% (T4) compared with unenriched compost (T2).
Fig. 4: Soil total P content according to treatments at Fada N’Gourma and Nassobdo (2021).
T1. Control without compost, T2. 30 t/ha Compost control, T3. 30 t/ha Compost 15.COS and T4. 30 t/ha Compost 30.COS. Bars with the same letter are not statistically different at the 5% threshold according to Tukey test
Analyses of variance did not reveal any significant improvement in soil total K content at either site (Fig. 5). At Fada N’Gourma and Nassobdo, soil total K levels were not statistically influenced by compost inputs.
Fig. 5: Soil total K content according to treatments at Fada N’Gourma and Nassobdo (2021).
T1. Control without compost, T2. 30 t/ha Compost control, T3. 30 t/ha Compost 15.COS and T4. 30 t/ha Compost 30.COS. Bars with the same letter are not statistically different at the 5% threshold according to Tukey test
DISCUSSION
Improving the chemical characteristics of compost using horn, bone and hoof powder: The results indicated that the addition of mixture powder of horn, bone and hoof (COS powder) to composts resulted in improvements in the organic carbone, total nitrogen and total phosphorus content of composts enriched with 15% and 30% COS powder. In fact, as an amendment, the mixture of horn, bone and hoof powder is rich in nitrogen and phosphate nutrients, since in addition to 54% of organic carbone, it contains 7.19% of nitrogen and 10.86% of phosphorus. These results are similar to those of Kivelä et al., (2015), who found that bones are rich in phosphorus and nitrogen, with contents of 5% and 8% respectively. The nitrogen content could come from the breakdown of the protein compounds that make up these substrates (Adamczyk et al., 2009; Hall et al., 2013). The fertilizing values of the COS powder amendment are thought to have helped improve organic carbone, nitrogen and phosphorus levels through the composting of Andropogon gayanus straw residues in heaps (Genisel et al., 2012; Ahmmed et al., 2019). The improvement in the organic carbone, nitrogen and phosphorus contents of composts shows that heap composting would be a suitable process to ensure the release of mineral elements from the mixture of horn, bone and hoof powder (Ahmmed et al., 2019; َAhooei et al., 2022). The work of Ahooei et al. (2022) revealed that composting bone and blood powders is an alternative for better valorization of these amendments. The release of mineral elements from the mixture of horn, bone and hoof powders is thought to be linked to the fulvic acid produced by the degradation of plant matter in heap composting (Zhang et al., 2020; Li et al., 2021). The fulvic acids produced during the decomposition of plant matter contributed to the decomposition of horn, bone and hoof powder, which improved the release of mineral elements (Plaza et al., 2005). The decrease in total K and total Ca content in compost enriched with 15% and 30% COS powder is justified by the reduction in dry matter rich in these elements due to the use of mixed powder, which is low in potassium and calcium. C/N ratios of between 10 and 12 indicate a good mineralization (Compaoré et al., 2010).
Effects of composts on tomato yield and its components: Improvements in collar diameter, tomato plant height and fresh tomato yield amended with unenriched composts (T2) and composts enriched with (COS powder) at both Fada N’Gourma and Nassobdo. These improvements can be attributed to a number of factors, including improved physical, chemical and biological soil properties. On soils with a low organic matter content (1.70 g kg-1 and 2.80 g kg-1), inputs of organic manure in the form of compost had beneficial effects on soil properties. In addition, the nitrogen content of the composts ranged from 1.25 ± 0.02% to 1.99 ± 0.01%, making these substrates important sources of nitrogen for crops, particularly tomatoes, which have high nitrogen requirements and need to be covered for their growth. The fertilizing value of the composts shows that they ensured good nitrogen availability for tomato plants. Nitrogen is the most important mineral element for tomato growth (Leghari et al., 2016; Yue et al., 2022). The growth of tomato plants has resulted in an increase in biomass and therefore in the diameter at the crown and the height of tomato plants. The improvement in fresh tomato yield and number of fruits indicates that the composts provided good nutrition for the tomato plants. Our results are similar to those of Yasmin et al. (2018) and Ahmmed et al. (2019) who showed beneficial effects of compost enriched with bone powder on growth and biomass yield of Amaranthus cruentus and Ipomoea aquatica in Bangladesh. Our results are similar to those of Sawadogo et al. (2021), who demonstrated the effectiveness of enriched compost on tomato yield. These composts ensure good mineral nutrition for tomatoes.
Effects of composts on soil chemical parameters: Compost enriched with horn, bone and hoof powder had a positive effect on organic carbone, total nitrogen and total phosphorus levels in Nassobdo, whereas in Fada N’Gourma, their effect remained variable due to the intrinsic characteristics of the soils. In Nassobdo, on poor soils with low levels of organic matter, total nitrogen and total phosphorus, and a silty-sandy texture, the effectiveness of enriched composts was more marked on soil parameters (Bonanomi et al., 2014; Sayara et al., 2020). Soils with a sandy texture are characterized by their low content of soil organic matter and major elements. However, because of their characteristics, these soils respond better to inputs in the form of compost. In the soil, compost improves water retention capacity proportionally to the dose applied, cation exchange capacity and mineral element content through mineralization in the soil (Rousseau, 2005). Organic matter provides large quantities of nutrients, which are released through a series of chemical and biochemical processes to replace those in the soil solution (Brady and Weil, 2002). At Fada N’Gourma, the effectiveness of the composts was variable, while at Nassobdo, it was the compost enriched with 30% of the COS powder mixture that showed a high level of effectiveness in terms of organic carbone, total nitrogen and total phosphorus in the soil. The use of a mixture of horn, bone and hoof powder in composting did not improve soil potassium levels. This could be explained by the low potassium content (0.17% K2O) of the mixture of horn, bone and hoof powder, the application of which in composting did not improve soil potassium levels (Genisel et al., 2012).
CONCLUSION AND APPLICATION OF RESULTS
This study showed that the contents of organic carbone, total nitrogen and total phosphorus were improved with the addition of a mixture of horn, bone and hoof powder during the composting process. The different composts improved tomato growth and yield in the Fada N’Gourma and Nassobdo. Compost enriched with a 15% mixture of horn, bone and hoof powder produced the best growth and yields of fresh tomatoes, while compost enriched with 30% COS powder had positive effects on soil organic carbone, total nitrogen and total phosphorus levels. Enriching composts with a mixture of horn, bone and hoof powder is proving to be a promising option for recovering slaughterhouse waste to improve market garden yields while helping to clean up urban areas.
ACKNOWLEDGEMENTS
The authors would like to thank the ‘’Association pour la Recherche et la Formation en Agroécologie (ARFA) in Burkina Faso’’ for their contribution to the funding of this work.
REFERENCES
Adamczyk B, Godlewski M, Smolander A, Kitunen V, 2009. Degradation of proteins by enzymes exuded by Allium porrum roots–A potentially important strategy for acquiring organic nitrogen by plants. Plant Physiology and Biochemistry 47, 919–925. https://doi.org/10.1016/j.plaphy.2009.05.010
Ahmmed B, Shafique TB, Billah SM, 2019. Effect of Powdered and Composted Meat Bones on the Growth and Yield of Water Spinach (Ipomoea aquatica). International Journal of Bio-Science and Bio-Technology 11, 134–145.
َAhooei J, Astaraei AR, Khorassani R, Lakzian A, 2022. Evaluation of Characteristics of Municipal Waste Compost Enriched with Blood Powder, Bone Powder and Phosphate Soil and Its Impact on Spinach (Spinacia oleracea L.) Growth. Journal Of Horticultural Science 36, 505–518. https://doi.org/10.22067/jhs.2021.72864.1097
Bonanomi G, D’Ascoli R, Scotti R, Gaglione SA, Caceres MG, Sultana S, Scelza R, Rao MA, Zoina A, 2014. Soil quality recovery and crop yield enhancement by combined application of compost and wood to vegetables grown under plastic tunnels. Agriculture, Ecosystems & Environment 192, 1–7. https://doi.org/10.1016/j.agee.2014.03.029
Brady NC, Weil RR, (2002). The nature and properties of soils. 13th edition. Pearson Education, Inc., New Jersey, USA. 960p.
Bray RH, Kurtz LT, 1945.Determination of Total Organic and Available Forms ofPhosphorus in Soils. Soil Science, 59(1): 39-46. DOI : http://dx.doi.org/10.1097/00010694-194501000-00006
BUNASOLS, 2018. Normes d’interprétation des sols au Burkina Faso, BIUNASOLS, Ouagadougou, Burkina Faso, 3 p.
Chennaoui M, Mountadar M, Assobhei O, 2006. Rejets d’abattoir : caractérisation et étude d’impact sur le milieu marin récepteur. Environnement, Ingénierie & Développement N°43, 7974. https://doi.org/10.4267/dechets-sciences-techniques.1857
Compaoré E and Nanéma LS, 2010. Compostage et qualité du compost de déchets urbains solides de la ville de Bobo-Dioulasso, Burkina Faso. Tropicultura, 28: 232237.
Dabin B, 1970. Analyse des matières organiques dans les sols. Laboratoire de chimie des sols et de pédologie appliquée. ORSTOM, multigraphié, p. 17
Genisel M, Erdal S, Turk H, Dumlupinar R, 2012. The availability of bone powder as inorganic element source on growth and development in wheat seedlings. Toxicol Ind Health 28, 458–462. https://doi.org/10.1177/0748233711414610
Hall NG, Schönfeldt HC, 2013. Total nitrogen vs. amino-acid profile as indicator of protein content of beef. Food Chemistry, 9th International Food Data Conference: Food Composition and Sustainable Diets 140, 608–612. https://doi.org/10.1016/j.foodchem.2012.08.046
Harahap LA, Daulay SB, Munir AP, 2023. Bone powder miller optimization. IOP Conference Series: Earth and Environmental Science, 1241, 012062. https://doi.org/10.1088/1755-1315/1241/1/012062
Hart A, Ebiundu K, Peretomode E, Onyeaka H, Forstinus Nwabor O, Obileke K, 2022. Value-added materials recovered from waste bone biomass: technologies and applications. Royal Society of Chemistry, 12, 22302–22330. https://doi.org/10.1039/D2RA03557J
Hillebrand WF, Lundell GE, Bright HA, Hoffman JI. 1953. Applied Inorganic Analysis (2nd edn). John Wiley & Sons, Inc: New York, USA; p.1034
Houba VJG, Van der Lee JJ, Novozamsky I, 1995. Soil Analysis Procedures, other procedures. (Soil and plants analysis, part 5 B), Syllabus.
Kaboré WT, Hien E, P Zombré A, Coulibaly S, Houot and Masse D, 2011. Valorisation des substrats organiques divers dans l’agriculture péri-urbaine de Ouagadougou (Burkina Faso) pour l’amendement et la fertilisation des sols : acteurs et pratiques. Biotechnology, Agronomy, Society and Environment, 15 : 271-286
Kakimov AK, Yessimbekov ZS, Kabdylzhar BK, Suychinov AK, Baikadamova AM, 2021. A study on the chemical and mineral composition of the protein‑mineral paste from poultry and cattle bone raw materials. Theory and practice of meat processing, 6(1), 39–45. https://doi.org/10.21323/2414–438X2021–6–1–39–45
Kiba DI, Zongo NA, Lompo F, Jansa J, Compaoré E, Sedogo PM, and Frossard E, 2012. The diversity of fertilization practices affects soil and crop quality in urban vegetable sites of Burkina Faso. The European Journal of Agronomy, 38: 12-21.
Kiba DI, Soma DM, Zongo NA, Gnankambary Z, Nacro HB, Lompo F, and Sedogo PM, 2019. Composting to improve slaughterhouse wastes-based fertilization strategies of urban vegetable farmers of Ouagadougou, Burkina Faso. International Journal of Agriculture and Biosciences, 8(5): 270-275.
Kivelä J, Chen L, Muurinen S, Kivijärvi P, Hintikainen V, Helenius J, 2015. Effects of meat bone meal as fertilizer on yield and quality of sugar beet and carrot. Afrique science, 24, 68–83. https://doi.org/10.23986/afsci.8587
Leghari SJ, Wahocho NA, Laghari GM, HafeezLaghari A, MustafaBhabhan G, HussainTalpur K, Bhutto TA, Wahocho SA, Lashari AA, 2016. Role of nitrogen for plant growth and development: a review. Advances in Environmental Biology 10, 209–219.
Li F, Yu H, Li Y, Wang Y, Shen Resource J, Hu D, Feng B, Han Y, 2021. The quality of compost was improved by low concentrations of fulvic acid owing to its optimization of the exceptional microbial structure. Bioresource Technology 342, 125843. https://doi.org/10.1016/j.biortech.2021.125843
Nunes, WAG, de A, Menezes JFS, Benites VM, Junior SAL and Oliveira AS, 2014. Use of organic compost produced from slaughterhouse waste as fertilizer in soybean and corn crops. Scientia Agricola, 72: 343-350
Nunes WAG, de A., Menezes JFS, Benites V, de M, Lima Junior SA, Oliveira A. dos S, 2015. Use of organic compost produced from slaughterhouse waste as fertilizer in soybean and corn crops. Agricultural science, 72, 343–350. https://doi.org/10.1590/0103-9016-2014-0094
Plaza C, Senesi N, Polo A, Brunetti G, 2005. Acid−Base Properties of Humic and Fulvic Acids Formed during Composting. Environmental Science & Technology, 39, 7141–7146. https://doi.org/10.1021/es050613h
Razafindramanana NC, Autfray P, Rabenson R, Randriamboavonjy JC, Rajaominoson MA et Razafindrajaona JM, 2020. effets de la poudre d’os et de fumier de zébu sur la production de haricot (Phaseolus vulgaris L) sur les Hautes Terres malgaches. International Journal of Biological and Chemical Sciences, 14(6): 2181-2192, 2020
Rousseau G, (2005). Analyses multidimensionnelles des effets de la rotation et d’un compost urbain sur la sclerotiniose du soja et de la santé du sol. Faculté des sciences de l’agriculture et de l’alimentation, Université de Laval, Québec, Canada, pp 220.
Roy M, Karmakar S, Debsarcar A, Sen PK, Mukherjee J, 2013. Application of rural slaughterhouse waste as an organic fertilizer for pot cultivation of solanaceous vegetables in India. International Journal of Recycling of Organic Waste in Agriculture, 2, 6. https://doi.org/10.1186/2251-7715-2-6
Sawadogo J, Bassole MSD, Kaboré A, 2021. Amélioration des propriétés physico-chimiques et microbiologiques des sols par des fertilisants biologiques sous cultures de la tomate en zone Soudano-sahélienne, Afrique SCIENCE 19(4) (2021) 189 – 202.
Sayara T, Basheer-Salimia R, Hawamde F, Sánchez A, 2020. Recycling of Organic Wastes through Composting: Process Performance and Compost Application in Agriculture. Agronomy 10, 1838. https://doi.org/10.3390/agronomy10111838
Soma DM, Pouya BM, Zongo NA, Kiba DI, Gnankambary Z, and Sedogo MP, 2023. Potential of biogas and organic fertilizers production through anaerobic digestion of slaughterhouse waste in Ouagadougou, Burkina Faso. International Journal of Agriculture and Bioscience, 12(1): 27-30. https://doi.org/10.47278/journal.ijab/2022.041
Walkley A, Black IA, 1934. An examination method of the detjareff and a Proposed Modification of the Chromic Acid Titration method. Soil Science, 37(1): 29-38.
Yasmin D, Khan MZ, Billah SM, 2018. Effects of Composted and Powdered Bones Meal on the Growth and Yield of Amaranthus cruentus. Asian Journal of Research in Crop Science 2, 1–9. https://doi.org/10.9734/AJRCS/2018/45241
Yue W, Liu L, Chen S, Bai Y, Li N, 2022. Effects of Water and Nitrogen Coupling on Growth, Yield and Quality of Greenhouse Tomato. Water, https://doi.org/10.3390/w14223665
Zhang X, Zhao Y, Meng H, Li L, Cui H, Wei Z, Yang T, Dang Q, 2020. Revealing the Inner Dynamics of Fulvic Acid from Different Compost-Amended Soils through Microbial and Chemical Analyses. Journal of Agricultural and Food Chemistry 68, 3722–3728. https://doi.org/10.1021/acs.jafc.0c00658




